Browsing by Author "Howell, John"
Now showing 1 - 20 of 23
- Results Per Page
- Sort Options
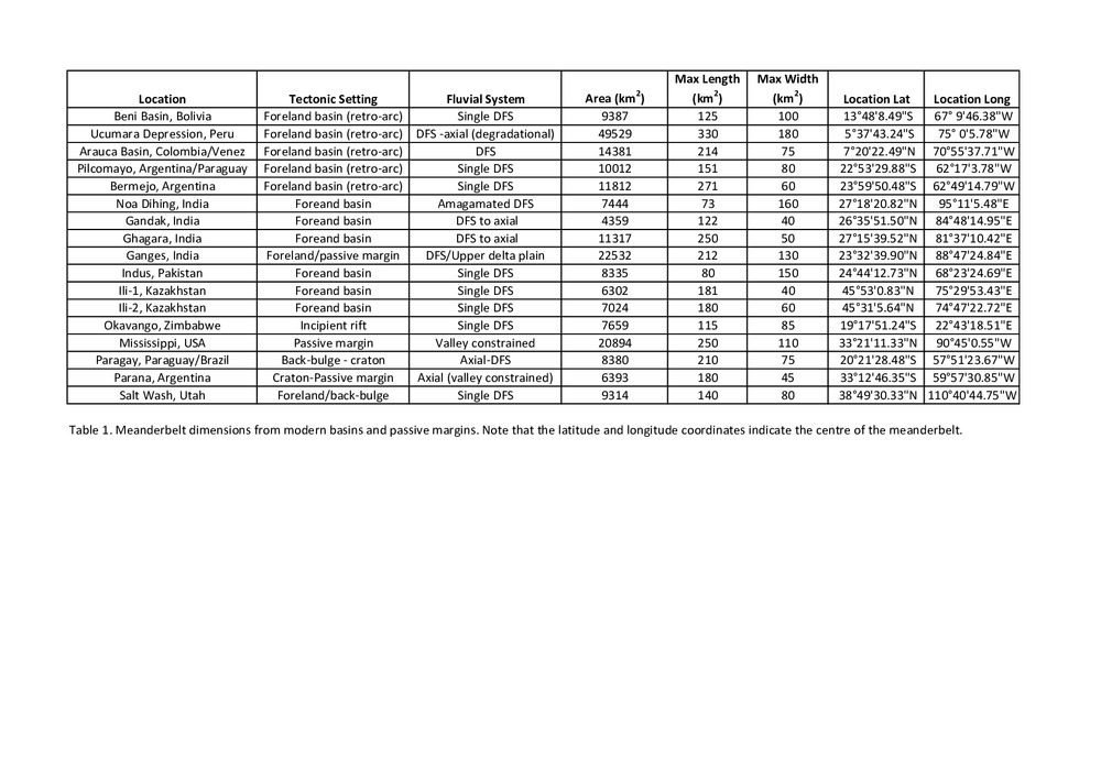
Item The 3D Facies Architecture and Petrophysical Properties of Hyaloclastite Delta Deposits : An Integrated Photogrammetry and Petrophysical Study from southern Iceland(2020-10) Greenfield, Lois; Millett, John; Howell, John; Jerram, Douglas A; Watton, Tim; Healy, David; Hole, Malcolm J; Planke, Sverre; University of Aberdeen.Geology and Geophysics; University of Aberdeen.Centre for Energy TransitionItem Analysis of facies proportions as a tool to quantify reservoir heterogeneity(2024-12) Aliyuda, Kachalla; Charlaftis, Dimitrios; Priddy, Charlotte; Howell, John; University of Aberdeen.Geology and GeophysicsItem Challenges of future exploration within the UK Rockall Basin(Geological Society of London, 2018) Schofield, Nick; Jolley, David; Holford, Simon; Archer, Stuart; Watson, Douglas; Hartley, Adrian; Howell, John; Muirhead, David; Underhill, John; Green, Paul; Bowman, M; Levell, B; University of Aberdeen.Geology and Geophysics; University of Aberdeen.Energy; University of Aberdeen.Geography & Environment; University of Aberdeen.Centre for Energy TransitionItem A conceptual model for glaciogenic reservoirs : from landsystems to reservoir architecture(2020-05) Kurjanski, Bartosz; Rea, Brice R.; Spagnolo, Matteo; Cornwell, David G.; Howell, John; Archer, Stuart; University of Aberdeen.Geology and Geophysics; University of Aberdeen.Geography & Environment; University of Aberdeen.The North; University of Aberdeen.Energy; University of Aberdeen.Cryosphere and Climate Change Research Group; University of Aberdeen.Centre for Energy TransitionItem Cool deltas : Sedimentological, geomorphological and geophysical characterization of ice-contact deltas and implications for their reservoir properties (Salpausselkä, Finland)(2021-11-10) Kurjanski, Bartosz; Rea, Brice; Spagnolo, Matteo; Cornwell, Dave; Howell, John; Comte, Jean-Christophe; Gonzalez Quiros, Andres; Palmu, Jukka-Pekka; Oien, Rachel; Gibbard , Philip; University of Aberdeen.Geology and Geophysics; University of Aberdeen.The North; University of Aberdeen.Cryosphere and Climate Change Research Group; University of Aberdeen.Geography & Environment; University of Aberdeen.Northern Rivers Institute (NRI)Item Distribution of discontinuous mudstone beds within wave-dominated shallow-marine deposits : Star Point Sandstone and Blackhawk Formation, Eastern Utah(2014-07) Eide, Christian Haug; Howell, John; Buckley, Simon; University of Aberdeen.Geology and Geophysics; University of Aberdeen.EnergyItem Facies analysis and sequence stratigraphy of shallow marine, coarse-grained siliciclastic deposits in the southern Utsira High : The Late Jurassic intra-Draupne Formation sandstones in the Johan Sverdrup Field (Norwegian North Sea)(2024-01) Puig Lopez, Josep Maria; Poyatos-Moré, Miquel; Howell, John; University of Aberdeen.Geosciences; University of Aberdeen.Geology and GeophysicsItem Facies models for rocky shorelines and their application to transgressed basement highs in the North Sea(2024-09-02) Puig Lopez, Josep Maria; Howell, John; University of Aberdeen.Geosciences; University of Aberdeen.Geology and GeophysicsItem Geology and Petroleum Prospectivity of the Sea of Hebrides Basin and Minch Basin, Offshore Northwest Scotland(2021-11) Fyfe, Laura-Jane Christine; Schofield, Nicholas; Holford, Simon P.; Hartley, Adrian; Heafford, Adrian; Muirhead, David; Howell, John; University of Aberdeen.Geosciences; University of Aberdeen.Geology and Geophysics; University of Aberdeen.Centre for Energy TransitionItem The influence of salt tectonics on the distribution of the Triassic Skagerrak Formation in the Ula Field, Norwegian North Sea(2024-05-31) Di Lauro, Lorenzo; Hartley, Adrian J.; Duncan, Jonathan; Knutsen, Eirik Rosseland; Howell, John; Jolley, David; University of Aberdeen.Geology and Geophysics; University of Aberdeen.Centre for Energy TransitionItem Interpretation of mouth-bar and related lacustrine and fluvial sand bodies from the middle Green River Formation (Eocene), southern Uinta Basin, Utah(2019-12-31) Keighley, Dave; Spinnangr, Øystein; Howell, John; Flint, Stephen; University of Aberdeen.Centre for Energy Transition; University of Aberdeen.Geology and GeophysicsItem Liquefaction structures induced by the M5.7 earthquake on May 28, 2018 in Songyuan, Jilin Province, NE China and research implication(2020-02-04) Shao, Zhu Fu; Zhong, Jian Hua; Howell, John; Hao, Bing; Luan, Xi Wu; Liu, Ze Xuan; Ran, Wei Min; Zhang, Yun Feng; Yuan, Hong Qi; Liu, Jing Jing; Ni, Liang Tian; Song, Guan Xian; Liu, Jin Lin; Zhang, Wen Xin; Zhao, Bing; University of Aberdeen.Centre for Energy Transition; University of Aberdeen.Geology and GeophysicsItem Morphological evidence for marine ice stream shutdown, central Barents Sea(2019-08-01) Kurjanski, Bartosz; Rea, Brice R.; Spagnolo, Matteo; Winsborrow, Monica; Cornwell, David G.; Andreassen, Karin; Howell, John; University of Aberdeen.Geology and Geophysics; University of Aberdeen.Geography & Environment; University of Aberdeen.The North; University of Aberdeen.Energy; University of Aberdeen.Cryosphere and Climate Change Research Group; University of Aberdeen.Centre for Energy TransitionItem Predicting oil field performance using machine learning programming : a comparative case study from the UK continental shelf(2023-02-02) Osah, Ukari; Howell, John; University of Aberdeen.Geology and GeophysicsItem Quantifying Virtual Field Trip Efficiency(2024-12) Pugsley, Jessica; Howell, John; Hartley, Adrian; Buckley , S. J.; Chmielewska, Magda; Naumann, Nicole; Schofield, Nicholas; Brackenridge, Rachel; University of Aberdeen.Geology and Geophysics; University of Aberdeen.Centre for Energy TransitionItem Recognition and importance of amalgamated sandy meander belts in the continental rock record(2015-08-01) Hartley, Adrian J.; Owen, Amanda; Swan, Alistair; Weissmann, Gary S.; Holzweber, Barbara I.; Howell, John; Nichols, Gary; Scuderi, Louis; University of Aberdeen.Geology and Geophysics; University of Aberdeen.Energy; University of Aberdeen.Centre for Energy TransitionItem Spatial and Temporal Distribution of Hydrocarbon Production on the UK Continental Shelf(2023-12) Osah, Ukari-Oniso; Howell, John; University of Aberdeen.Geosciences; University of Aberdeen.Geology and GeophysicsItem A STATISTICAL ANALYSIS OF GEOLOGICAL AND ENGINEERING PREDICTORS OF OILFIELD PERFORMANCE RESPONSE : A CASE STUDY OF OILFIELDS ON THE UK CONTINENTAL SHELF(2024-04) Osah, Ukari; Howell, John; University of Aberdeen.Geosciences; University of Aberdeen.Geology and GeophysicsItem Stratigraphic forward modelling of distributive fluvial systems based on the Huesca System, Ebro Basin, Northern Spain(2021-12-01) Snieder, Swiad; Griffiths , Cedric; Owen, Amanda; Hartley, Adrian; Howell, John; University of Aberdeen.Geology and Geophysics; University of Aberdeen.Centre for Energy Transition; University of Aberdeen.GeosciencesItem Three-dimensional characterisation of sedimentary heterogeneity and its impact on subsurface flow behaviour through the braided-to-meandering fluvial deposits of the Castissent Formation (late Ypresian, Tremp-Graus Basin, Spain)(2019-05-01) Puig, Josep M.; Cabello, Patricia; Howell, John; Arbués, Pau; University of Aberdeen.Geosciences; University of Aberdeen.Centre for Energy Transition; University of Aberdeen.Geology and Geophysics
