Risk of fracture amongst patients with Parkinson's disease and other forms of parkinsonism
| dc.contributor.author | Sleeman, Isobel | |
| dc.contributor.author | Che, Zhu Chung | |
| dc.contributor.author | Counsell, Carl | |
| dc.contributor.institution | University of Aberdeen.Other Applied Health Sciences | en |
| dc.contributor.institution | University of Aberdeen.Chronic Disease Research Group | en |
| dc.contributor.institution | University of Aberdeen.Grampian Data Safe Haven (DaSH) | en |
| dc.date.accessioned | 2017-08-11T09:00:14Z | |
| dc.date.available | 2017-08-11T09:00:14Z | |
| dc.date.embargoedUntil | 2017-05-26 | |
| dc.date.issued | 2016-08 | |
| dc.description | Acknowledgements We thank all the participants who took part, the research fellows (Kate Taylor, Robert Caslake, David McGhee, Angus Macleod) and nurses (Clare Harris, Joanna Gordon, Anne Hayman, Hazel Forbes) who helped assess the participants, and the study secretaries (Susan Kilpatrick, Pam Rebecca) and data management team (Katie Wilde, David Ritchie). The PINE study was funded by the BMA Doris Hillier award, Parkinson's UK, the RS McDonald Trust, NHS Grampian Endowments, SPRING and the BUPA Foundation. None of the funders had any influence in the study design, the collection, analysis and interpretation of the data, the writing of the report or the decision to submit the article for publication. | en |
| dc.description.status | Peer reviewed | en |
| dc.format.extent | 6 | |
| dc.format.extent | 88469 | |
| dc.format.extent | 6984872 | |
| dc.format.extent | 180552 | |
| dc.identifier | 67349532 | |
| dc.identifier | 010c420c-7697-4804-b9b5-3d0da39c5139 | |
| dc.identifier | 27287242 | |
| dc.identifier | 84973467763 | |
| dc.identifier | 27287242 | |
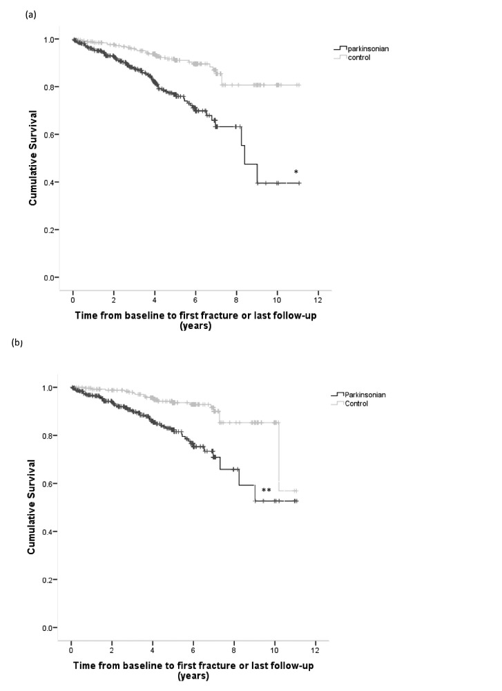
| dc.identifier.citation | Sleeman, I, Che, Z C & Counsell, C 2016, 'Risk of fracture amongst patients with Parkinson's disease and other forms of parkinsonism', Parkinsonism & Related Disorders, vol. 29, pp. 60-65. https://doi.org/10.1016/j.parkreldis.2016.05.026 | en |
| dc.identifier.doi | 10.1016/j.parkreldis.2016.05.026 | |
| dc.identifier.issn | 1353-8020 | |
| dc.identifier.other | ORCID: /0000-0001-6622-7839/work/164505625 | |
| dc.identifier.other | ORCID: /0000-0003-2299-9743/work/168606790 | |
| dc.identifier.uri | http://hdl.handle.net/2164/9129 | |
| dc.identifier.vol | 29 | en |
| dc.language.iso | eng | |
| dc.relation.ispartof | Parkinsonism & Related Disorders | en |
| dc.subject | Aged | en |
| dc.subject | Aged, 80 and over | en |
| dc.subject | Cohort Studies | en |
| dc.subject | Female | en |
| dc.subject | Fractures, Bone/epidemiology | en |
| dc.subject | Humans | en |
| dc.subject | Kaplan-Meier Estimate | en |
| dc.subject | Male | en |
| dc.subject | Parkinson Disease/epidemiology | en |
| dc.subject | Parkinsonian Disorders/epidemiology | en |
| dc.subject | Risk Factors | en |
| dc.subject | Statistics, Nonparametric | en |
| dc.subject | R Medicine | en |
| dc.subject.lcc | R | en |
| dc.title | Risk of fracture amongst patients with Parkinson's disease and other forms of parkinsonism | en |
| dc.type | Journal article | en |
Files
Original bundle
1 - 3 of 3
No Thumbnail Available
- Name:
- fractures_in_PD_park_and_related_diseases_revised_final.docx
- Size:
- 86.4 KB
- Format:
- Unknown data format
License bundle
1 - 1 of 1
