Telephone cognitive behavioural therapy to prevent the development of chronic widespread pain : a qualitative study of patient perspectives and treatment acceptability
| dc.contributor.author | Fraser, Claire | |
| dc.contributor.author | Beasley, Marcus | |
| dc.contributor.author | Macfarlane, Gary | |
| dc.contributor.author | Lovell, Karina | |
| dc.contributor.institution | University of Aberdeen.Other Applied Health Sciences | en |
| dc.contributor.institution | University of Aberdeen.Epidemiology Group | en |
| dc.contributor.institution | University of Aberdeen.Vice Principals | en |
| dc.contributor.institution | University of Aberdeen.Institute of Applied Health Sciences | en |
| dc.contributor.institution | University of Aberdeen.Aberdeen Centre for Arthritis and Musculoskeletal Health (ACAMH) | en |
| dc.date.accessioned | 2019-06-06T10:20:13Z | |
| dc.date.available | 2019-06-06T10:20:13Z | |
| dc.date.issued | 2019-05-10 | |
| dc.description | The authors would like to thank: the MAmMOTH investigators, Phil Keeley, Gordon Prescott, Paul McNamee, Majid Artus, John McBeth, Philip Hannaford, Gareth Jones, Neil Basu, and John Norrie. Kathy Longley, patient representative from Arthritis Research UK, for help with designing the MAmMOTH Study. The staff and patients at the following practices in Scotland: Mount Florida Medical Centre, Midlock Medical Centre, Buckingham Terrace Medical Practice, Levern Medical Group, Bridgetown Medical Centre, Cardonald Medical Centre, Denburn Medical Practice, Ellon Medical Group, Laurencekirk Medical Centre, Aultbea & Gairloch Medical Practice, Dr. Pearson’s Medical Practice, Cairn Medical Practice, Grantown On Spey Medical Practice, Strathpeffer Medical Practice, Fairfield Medical Practice, and Fortrose Medical Practice. The Scottish Primary Care Research Network coordinators, Samantha Holden in NHS Highland, Tracy Ibbotson in NHS Greater Glasgow & Clyde, and Amanda Cardy in NHS Grampian. Christine Molloy, CBT coordinator at University of Manchester. The therapists delivering the intervention, Anna Pruszynska, Christine Molloy, Clare Stephenson, Gary Lamph, Gary McNamee, Jayne Fox, Mike Fitzsimmons, Marie Pope, Natalie Broad, and Nicola McConnell. The programmers at Centre for Health Centre Randomised Trials (CHaRT), including Mark Forrest, senior IT development manager, and Brian Taylor, senior programmer. Funding The MAmMOTH study is funded by the Arthritis Research UK Grant no. 20748. Arthritis Research UK had no input into the design of the study, collection, interpretation of data or writing of the manuscript. Availability of data and materials The anonymised framework template is available from the corresponding author on reasonable request. | en |
| dc.description.status | Peer reviewed | en |
| dc.format.extent | 11 | |
| dc.format.extent | 625634 | |
| dc.format.extent | 287313 | |
| dc.format.extent | 142486 | |
| dc.format.extent | 413883 | |
| dc.identifier | 144618423 | |
| dc.identifier | ff1797bb-8082-4eac-a04d-1a138d71ecb8 | |
| dc.identifier | 000467587600004 | |
| dc.identifier | 85065550193 | |
| dc.identifier.citation | Fraser, C, Beasley, M, Macfarlane, G & Lovell, K 2019, 'Telephone cognitive behavioural therapy to prevent the development of chronic widespread pain : a qualitative study of patient perspectives and treatment acceptability', BMC Musculoskeletal Disorders, vol. 20, 198. https://doi.org/10.1186/s12891-019-2584-2 | en |
| dc.identifier.doi | 10.1186/s12891-019-2584-2 | |
| dc.identifier.issn | 1471-2474 | |
| dc.identifier.other | Mendeley: e3b7dae4-b8a1-32f7-b822-db454f91ea7e | |
| dc.identifier.other | ORCID: /0000-0003-2322-3314/work/72631707 | |
| dc.identifier.other | ORCID: /0000-0001-6045-386X/work/102133305 | |
| dc.identifier.uri | http://hdl.handle.net/2164/12366 | |
| dc.identifier.url | http://www.scopus.com/inward/record.url?scp=85065550193&partnerID=8YFLogxK | en |
| dc.identifier.url | http://www.mendeley.com/research/telephone-cognitive-behavioural-therapy-prevent-development-chronic-widespread-pain-qualitative-stud | en |
| dc.identifier.vol | 20 | en |
| dc.language.iso | eng | |
| dc.relation.ispartof | BMC Musculoskeletal Disorders | en |
| dc.subject | Chronic widespread pain | en |
| dc.subject | Telephone cognitive behavioural therapy | en |
| dc.subject | Treatment acceptability | en |
| dc.subject | Patient perspectives | en |
| dc.subject | Prevention | en |
| dc.subject | Qualitative | en |
| dc.subject | R Medicine (General) | en |
| dc.subject | Rheumatology | en |
| dc.subject | Orthopedics and Sports Medicine | en |
| dc.subject | Arthritis Research UK (ARUK) | en |
| dc.subject | 20748 | en |
| dc.subject | Supplementary Data | en |
| dc.subject.lcc | R1 | en |
| dc.title | Telephone cognitive behavioural therapy to prevent the development of chronic widespread pain : a qualitative study of patient perspectives and treatment acceptability | en |
| dc.type | Journal article | en |
Files
Original bundle
1 - 4 of 4
- Name:
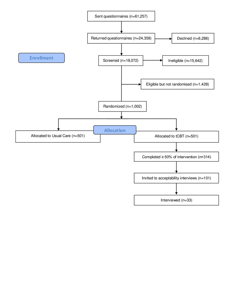
- 12891_2019_2584_Participant_Flow_Diagram.pdf
- Size:
- 280.58 KB
- Format:
- Adobe Portable Document Format
- Name:
- 12891_2019_2584_Interview_Schedule.pdf
- Size:
- 139.15 KB
- Format:
- Adobe Portable Document Format
- Name:
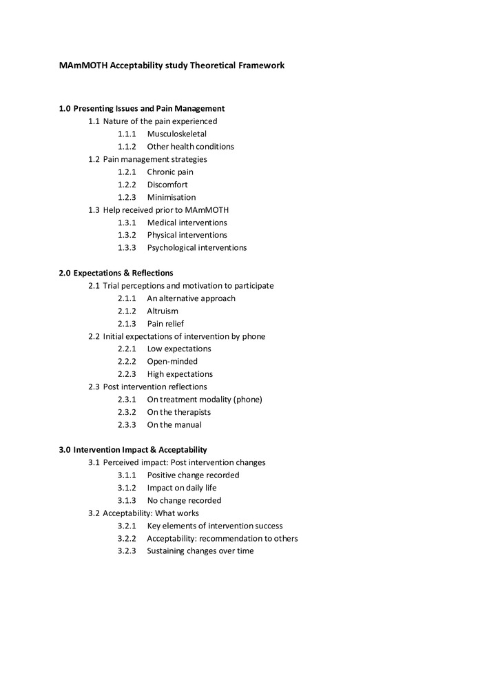
- 12891_2019_2584_Acceptability_Study_Theoretical_Framework.pdf
- Size:
- 404.18 KB
- Format:
- Adobe Portable Document Format
License bundle
1 - 1 of 1
